氢能以其清洁、安全、高效的特点,成为 21世纪理想的绿色能源,人类正在构建一个以氢为基础的能源经济形态,即“氢经济”的未来,而氢的储存是氢经济的重要一环。作为常见的储氢介质,LiAlH4和MgH2,以其较高的储氢量受到人们的广泛关注,但热力学稳定性及吸放氢动力学性能差阻碍了其实际应用。有研究表明LiAlH4和MgH2两者复合具有失稳脱氢效果。但该体系仍未达到车载储氢的实际要求,故进一步提高该体系吸放氢性能具有重要的科学价值。
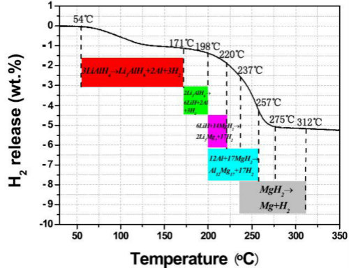
本中心氢能源材料研究团队最近报道了4MgH2-LiAlH4-TiH2的储氢性能,该研究表明TiH2的添加有利于4MgH2-LiAlH4体系的脱氢。起始脱氢温度降低到54℃。通过物相分析发现,TiH2在吸放氢过程中并不参与反应,只作为催化剂。且该体系具有可逆循环性能,可逆储氢量为4 wt%。该项工作近期发表在Journal of Alloys and Compounds, 2016, 676: 557-564期刊上。
该项研究得到了国家自然科学基金、江苏省自然科学基金、江苏省高校优势团队建设工程以及江苏高等公司协同创新计划等项目的资助。

|